Skip to content
Добро пожаловать на официальный сайт колледжа!
(8412) 52-14-65 - Приемная
Click Here
г. Пенза, ул. Гоголя, 3
pedk@bk.ru
Версия для слабовидящих
Secondary Navigation Menu
Menu
  • Главная
  • Студенту
    • Заказ справок
    • Промежуточная аттестация
    • Государственная итоговая аттестация
    • СДО Moodle
    • Образовательная платформа ЮРАЙТ для студентов
    • Электронная библиотека
  • Чемпионаты профессионального мастерства
    • Молодые профессионалы и Навыки мудрых
    • Абилимпикс
  • Профессионалитет
    • Образовательный кластер
    • Перечень специальностей ФП «Профессионалитет»
  • Расписание
    • Для очного отделения
      • Расписание занятий
      • Расписание экзаменов
    • Для заочного обучения
      • Расписание занятий с 15.01.2026 г. группа 25ФЗК11кз
  • Центр карьеры и профессионального самоопределения
    • Профессиональное самоопределение
    • Трудоустройство и карьера
    • Задать вопрос
  • ПРАКТИЧЕСКАЯ ПОДГОТОВКА
  • Задать вопрос
  • Оценка качества условий оказания услуг
Пензенский социально-педагогический колледж
Пензенский социально-педагогический колледж
Primary Navigation Menu
Menu
  • Сведения об образовательной организации
    • Основные сведения
    • Структура и органы управления
    • Документы
      • Устав колледжа
        • Изменения в Устав колледжа 2018
        • Изменения в Устав колледжа 2023
      • Правила внутреннего распорядка обучающихся
      • Правила внутреннего трудового распорядка
      • Коллективный договор
      • Предписания органов, осуществляющих государственный контроль (надзор) в сфере образования, отчеты об исполнении таких предписаний. Отчеты и их исполнение.
      • Локальные акты
      • Отчеты о результатах самообследования
      • Охрана труда
    • Образование
    • Руководство
    • Педагогический состав
    • Материально-техническое обеспечение и оснащенность образовательного процесса. Доступная среда
    • Стипендии и меры поддержки обучающихся
    • Платные образовательные услуги
    • Финансово-хозяйственная деятельность
    • Вакантные места для приема (перевода)
    • Международное сотрудничество
    • Организация питания
    • Образовательные стандарты
      • Ядро среднего профессионального педагогического образования
  • Учебный центр профессиональных компетенций
    • Заочное обучение
    • Дополнительное профессиональное образование
      • Перечень программ ДПО
    • Образовательная платформа ЮРАЙТ для преподавателей
  • Воспитательная деятельность
    • Спортивный клуб
    • Воспитательная работа
    • Социально-психологическое тестирование
    • Страничка психолога
    • Страничка социального педагога
    • Расписание кружков и секций
    • Общежитие
    • Студенческий отряд «Феникс»
    • Профилактическая работа
    • «Движение Первых»
    • Студенческий совет и общественные объединение колледжа
  • Приемная кампания
    • Задать вопрос в «Приемную комиссию»
    • Приемная комиссия
    • Дни открытых дверей
  • Противодействие коррупции
    • О противодействии коррупции
    • Об уведомлении работодателя
    • О конфликте интересов
    • Локальные правовые акты
    • Методические материалы
    • Формы документов, связанных с предупреждением коррупции, для заполнения
    • Телефон горячей линии
    • Обратная связь для сообщений о фактах коррупции

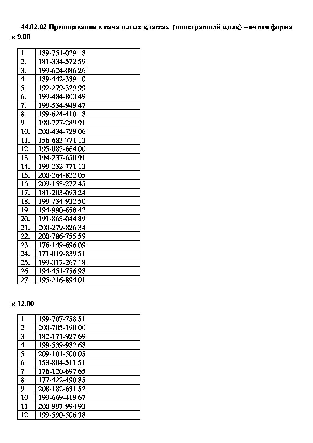
НК Ин. яз (подгруппы)

Читать далее….

2025-08-12
  • Узнать больше...

2026 © ГАПОУ ПО "Пензенский социально-педагогический колледж" //// ® При копировании материалов ссылка на сайт https://pspk58.ru

Наш сайт использует файлы cookies, чтобы улучшить работу и повысить эффективность сайта. Продолжая работу с сайтом, вы соглашаетесь с использованием нами cookies и политикой конфиденциальности.

Принять